5G y el Grafeno...la cruda realidad
Análisis de las propiedades de la antena de grafeno para aplicaciones 5G...Centro de comunicaciones inalámbricas, Universiti Teknologi Malaysia, Johor Bahru 81310, Malasia 2 Facultad de Ingeniería Eléctrica y Electrónica, Universiti Tun Hussein Onn Malaysia, Parit Raja, Batu Pahat 86400, Malasia 3 Departamento de Ingeniería de Sistemas Electrónicos, Instituto Internacional de Tecnología Malasia-Japón, Universiti Teknologi Malaysia, Jalan Sultan Yahya Petra, Kuala Lumpur 54100, Malasia 4 División de Ingeniería de Comunicaciones, Escuela de Ingeniería Eléctrica, Facultad de Ingeniería, Universiti Teknologi Malaysia, Johor Bahru 81310, Malasia

1. Introducción
2. Antena de grafeno única
2.1. Diseño de la antena
2.2. Estudios paramétricos
2.3. Resultados
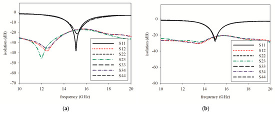
3. Conjunto de antenas
3.1. Reducción del acoplamiento mutuo
3.2. Espaciado entre elementos
3.3. Resultados
3.4. Scanning Performance
4. Conclusiones
Contribuciones del autor
Financiación
Conflictos de intereses
Referencias
- Shafi, M.; Molisch, A.F.; Smith, P.J.; Haustein, T.; Zhu, P.; De Silva, P.; Tufvesson, F.; Benjebbour, A.; Wunder, G. 5G: Una descripción general del tutorial de estándares, ensayos, desafíos, implementación y práctica. IEEE J. Sel. Áreas Comunitarias. 2017, 35, 1201–1221. [Google Académico] [CrossRef]
- Wang, C.-X.; Haider, F.; Gao, X.; Usted, X.-H.; Yang, Y.; Yuan, D.; Aggoune, H.; Haas, H.; Fletcher, S.; Hepsaydir, E. Arquitectura celular y tecnologías clave para redes de comunicación inalámbrica 5G. IEEE Commun. 2014, págs. 52, 122–130. [Google Académico] [CrossRef]
- Chen, S.; Zhao, J. Los requisitos, desafíos y tecnologías para 5G de las telecomunicaciones móviles terrestres. IEEE Commun. 2014, págs. 52, 36–43. [Google Académico] [CrossRef]
- Rappaport, T.S.; Sol, S.; Mayzus, R.; Zhao, H.; Azar, Y.; Wang, K.; Wong, G.N.; Schulz, J.K.; Samimi, M.; Gutierrez, F. Millimeter Wave Mobile Communications for 5G Cellular: ¡Funcionará! IEEE Access 2013, 1, 335–349. [Google Académico] [CrossRef]
- Boccardi, F.; Heath, R.W.; Lozano, A.; Marzetta, T.L.; Popovski, P. Cinco direcciones tecnológicas disruptivas para 5G. IEEE Commun. 2014, 52, 74–80. [Google Académico] [CrossRef] [Versión verde]
- Haraz, O.M. Banda ancha y antenas de anillo de ranura monopolo/elíptica impresas de doble banda de 28/38 GHz para las futuras comunicaciones celulares 5G. J. Millim infrarrojo. Terahertz Waves 2016, págs. 37, 308–317. [Google Académico] [CrossRef]
- Li, Y.; Wang, C.; Yuan, H.; Liu, N.; Zhao, H.; Li, X. Una antena 5G MIMO fabricada por el método de impresión 3D. Antenas IEEE Wirel. Propag. Letón. 2017, 16, 657–660. [Google Académico] [CrossRef]
- Syrytsin, I.; Zhang, S.; Pedersen, G.F. User Impact on Phased and Switch Diversity Arrays in 5G Mobile Terminals. IEEE Access 2017, 6, 1616–1623. [Google Académico] [CrossRef]
- Jilani, S.F.; Muñoz, M.O.; Abbasi, Q.H.; Alomainy, A. Matriz de antenas conformadas basadas en polímero de cristal líquido de onda milimétrica para aplicaciones 5G. Antenas IEEE Wirel. Propag. Letón. 2019, 18, 84–88. [Google Académico] [CrossRef]
- Ofcom. Espectro por encima de 6 GHz para futuras comunicaciones móviles. 2015. Disponible en línea: https://www.ofcom.org.uk/consultations-and-statements/category-2/above-6ghz (consultado el 3 de junio de 2015).
- Mattisson, S. Una visión general de los requisitos de 5G y las redes inalámbricas futuras: acomodar la tecnología de escalado. IEEE Solid State Circuits Mag. 2018, 10, 54–60. [Google Académico] [CrossRef]
- Bleicher, A. El futuro del teléfono 5G [Noticias]. IEEE Spectr. 2013, 50, 15–16. [Google Académico] [CrossRef]
- Dehos, C.; González, J.L.; De Domenico, A.; Kténas, D.; Dussopt, L. Acceso y backhauling de ondas milimétricas: ¿La solución al aumento exponencial del tráfico de datos en los sistemas de comunicaciones móviles 5G? IEEE Commun. 2014, 52, 88–95. [Google Académico] [CrossRef]
- Gupta, A.; Jha, R.K. Una encuesta de la red 5G: arquitectura y tecnologías emergentes. IEEE Access 2015, 3, 1206–1232. [Google Académico] [CrossRef]
- Chandrasekhar, V.; Andrews, J.; Gatherer, A. Redes femtocelulares: Una encuesta. IEEE Commun. 2008, 46, 59–67. [Google Académico] [CrossRef]
- Hong, W.; Baek, K.-H.; Lee, Y.; Kim, Y.; Ko, S.-T. Estudio y prototipado de sistemas de antenas mmWave prácticamente a gran escala para dispositivos celulares 5G. IEEE Commun. 2014, págs. 52, 63–69. [Google Académico] [CrossRef]
- Liao, L.; Duan, X. Grafeno para electrónica de radiofrecuencia. Mamá. Hoy 2012, 15, 328–338. [Google Académico] [CrossRef]
- Ta, S.X.; Choo, H.; Park, I. Antena dipolo impresa de banda ancha y sus matrices para aplicaciones 5G. Antenas IEEE Wirel. Propag. Letón. 2017, 16, 2183–2186. [Google Académico] [CrossRef]
- Mao, C.-X.; Gao, S.; Wang, Y. Broadband High-Gain Beam-Scanning Antenna Array for Millimeter-Wave Applications. IEEE Trans. Antenas Propag. 2017, págs. 65, 4864–4868. [Google Académico] [CrossRef]
- Dadgarpour, A.; Sorkherizi, M.S.; Kishk, A.A. Antena dipolo magnetoeléctrica de baja pérdida y banda ancha para red inalámbrica 5G con mejora de ganancia mediante metalente y alimentación de tecnología de guía de onda de brecha. IEEE Trans. Antenas Propag. 2016, 64, 5094–5101. [Google Académico] [CrossRef]
- Abu Diawuo, H.; Jung, Y.-B. Conjunto de antenas planas Microstrip acopladas a proximidad de banda ancha para aplicaciones celulares 5G. Antenas IEEE Wirel. Propag. Letón. 2018, 17, 1286–1290. [Google Académico] [CrossRef]
- Li, X.; Xiao, J.; Qi, Z.; Zhu, H. Broadband and High-Gain SIW-Fed Antenna Array for 5G Applications. IEEE Access 2018, 6, 56282–56289. [Google Académico] [CrossRef]
- Array, L.P.; Con, A.; Apilada, C. Wideband, Low-Profile Patch Array Antenna con microstrip apilada corporativa y estructura de alimentación de guía de onda integrada de sustrato. IEEE Trans. Antenas Propag. 2019, 67, 1368–1373. [Google Académico]
- Chu, Q.-X.; Li, X.-R.; Ye, M. Antena de matriz dipolo log-periódica impresa de alta ganancia con célula parásita para comunicación 5G. IEEE Trans. Antenas Propag. 2017, 65, 6338–6344. [Google Académico] [CrossRef]
- Kim, E.; Ko, S.-T.; Lee, Y.J.; Oh, J. Antena de lente diminuta de onda milimétrica que emplea matrices de filtros en forma de U para 5G. Antenas IEEE Wirel. Propag. Letón. 2018, 17, 845–848. [Google Académico] [CrossRef]
- Liu, H.; Yang, W.; Zhang, A.; Zhu, S.; Wang, Z.; Huang, T. Una antena Vivaldi antipodal miniaturizada mejorada y su matriz para aplicaciones de comunicación 5G. IEEE Access 2018, 6, 76282–76288. [Google Académico] [CrossRef]
- Haraz, O.M.; Elboushi, A.; Alshebeili, S.A.; Sebak, A.-R. Antena de matriz de parches dieléctricos densos con características de radiación mejoradas utilizando estructura de tierra EBG y superstrato dieléctrico para futuras redes celulares 5G. IEEE Access 2014, 2, 909–913. [Google Académico] [CrossRef]
- Zhu, S.; Liu, H.; Chen, Z.; Wen, P. Un conjunto de antenas Vivaldi compactas con ganancia mejorada con acoplamiento mutuo suprimido para aplicaciones 5G mmWave. Antenas IEEE Wirel. Propag. Letón. 2018, 17, 776–779. [Google Académico] [CrossRef]
- Selvaraju, R.; Jamaluddin, M.H.; Kamarudin, M.R.; Nasir, J.; Dahri, M.H. Reducción de acoplamiento mutuo y corrección de errores de patrón en una matriz lineal de formación de haces 5G utilizando CSRR. IEEE Access 2018, 6, 65922–65934. [Google Académico] [CrossRef]
- Yang, B. Compact Tapered Slot Antenna Array for 5G. IEEE Trans. 2017, 65, 6721–6727. [Google Académico] [CrossRef]
- Yashchyshyn, Y.; Derzakowski, K.; Bogdan, G.; Godziszewski, K.; Nyzovets, D.; Kim, C.H.; Park, B. Antena de haz conmutado de 28 GHz basada en diodos S-PIN para comunicaciones móviles 5G. Antenas IEEE Wirel. Propag. Letón. 2018, págs. 17, 225–228. [Google Académico] [CrossRef]
- Zhang, S.; Syrytsin, I.; Pedersen, G.F. Conjunto de antenas orientables por haz compacto con dos elementos parásitos pasivos para terminales móviles 5G a 28 GHz. IEEE Trans. 2018, 66, 5193–5203. [Google Académico] [CrossRef]
- Lee, H.J.; Kim, E.; Yook, J.G.; Jung, J. Características intrínsecas de la línea de transmisión de grafenos a frecuencias de microondas Características intrínsecas de la línea de transmisión de grafenos a frecuencias de microondas. Appl. Phys. Lett. 2012, 100, 223102. [Google Académico] [CrossRef]
- Dragoman, M.; Necolui, D.; Dragoman, D.; Deligeorgis, G.; Konstantinidis, G.; Cismaru, A.; Coccetti, F.; Plana, R. Grafeno para microondas. IEEE Microw. Mag. 2010, 11, 81–86. [Google Académico] [CrossRef]
- Luna, J.-S.; Gaskill, D.K. Grafeno: sus fundamentos para aplicaciones futuras. IEEE Trans. Microw. Teoría Técnica. 2011, 59, 2702–2708. [Google Académico] [CrossRef]
- Palacios, T.; Hsu, A.; Wang, H. Aplicaciones de dispositivos de grafeno en comunicaciones de RF. IEEE Commun. 2010, págs. 48, 122–128. [Google Académico] [CrossRef]
- Zhang, Y.; Huang, Y.; Zhang, T.; Chang, H.; Xiao, P.; Chen, H.; Huang, Z.; Chen, Y. Absorción por microondas de banda ancha y sintonizable de alto rendimiento de una espuma de grafeno ultraligera y altamente compresible. Adv. Mater. 2015, 27, 2049–2053. [Google Académico] [CrossRef]
- Katsounaros, A.; Cole, M.T.; Tuncer, H.M.; Milne, W.I.; Hao, Y. Caracterización de campo cercano de grafeno de deposición química de vapor en el régimen de microondas. Appl. Phys. Lett. 2013, 102, 233104. [Google Académico] [CrossRef] [Versión verde]
- Tamagnone, M.; Gómez-Díaz, J.S.; Mosig, J.R.; Perruisseau-Carrier, J. Análisis y diseño de antenas de terahercios basadas en láminas plasmónicas de grafeno resonante. J. Appl. Phys. 2012, 112, 114915. [Google Académico] [CrossRef] [Versión verde]
- Chen, P.Y.; Argyropoulos, C.; Alu, A. Desfasadores de antena de terahercios que utilizan líneas de transmisión de grafeno cerradas integralmente. IEEE Trans. Antenas Propag. 2013, 61, 1528–1537. [Google Académico] [CrossRef]
- Aloia, A.G.D.; Amore, M.D.; Sarto, M.S. Absorbedor de radar de banda ancha adaptativo basado en grafeno sintonizable. IEEE Trans. Antenas Propag. 2016, 64, 2527–2531. [Google Académico] [CrossRef]
- Na, K.; Ma, H.; Park, J.; Yeo, J.; Park, J.-U.; Bien, F. Sensor de gas ambiental inalámbrico basado en grafeno en sustrato de PET. Los senadores J. 2016, 16, 5003–5009. [Google Académico] [CrossRef]
- Li, L.; Guo, Y.; Zhang, X.; Song, Y. Patrones transparentes altamente conductores impresos por inyección de tinta con grafeno dopado con Ag a base de agua. J. Mater. Chem. A 2014, 2, 19095–19101. [Google Académico] [CrossRef]
- Fuscaldo, W.; Burghignoli, P.; Baccarelli, P.; Galli, A. Un sustrato reconfigurable: superstrate. Antenas IEEE Wirel. Propag. Letón. 2016, 15, 1545–1548. [Google Académico] [CrossRef]
- Dragoman, M.; Neculoiu, D.; Bunea, A.-C.; Deligeorgis, G.; Aldrigo, M.; Vasilache, D.; Dinescu, A.; Konstantinidis, G.; Mencarelli, D.; Pierantoni, L.; et al. Una antena de ranura de microondas sintonizable basada en grafeno. Appl. Phys. Lett. 2015, 106, 153101. [Google Académico] [CrossRef] [Versión verde]
- Carrasco, E.; Perruisseau-Carrier, J. Antena reflectarray en terahercios usando grafeno. Antenas IEEE Wirel. Propag. Letón. 2013, 12, 253–256. [Google Académico] [CrossRef]
- Dong, Y.; Liu, P.; Yu, D.; Li, G.; Tao, F. Antena de parche de terahercios reconfigurable de doble banda con cavidad de respaldo basada en pila de grafeno. Antenas IEEE Wirel. Propag. Letón. 2016, 15, 1541–1544. [Google Académico] [CrossRef]
- Kazemi, A.H.; Mokhtari, A. Antena de parche basada en grafeno sintonizable en las tres ventanas atmosféricas. Optik 2017, 142, 475–482. [Google Académico] [CrossRef]
- Materiales, M.; Liang, F.; Yang, Z.; Xie, Y.; Li, H.; Zhao, D. Beam-scanning microstrip quaasi-yagi—Uda antenna based on hybrid. IEEE Photonics Technol. Lett. 2018, 30, 1127–1130. [Google Académico]
- Huang, X.; Leng, T.; Zhu, M.; Zhang, X.; Chen, J.; Chang, K.; Aqeeli, M.; Geim, A.K.; Novoselov, K.S.; Hu, Z. Grafeno impreso altamente flexible y conductivo para aplicaciones de comunicaciones inalámbricas portátiles. 2015, 5, 18298. [Google Académico] [CrossRef] [Versión verde]
- Leng, T.; Huang, X.; Chang, K.; Chen, J.; Abdalla, M.A.; Hu, Z. Graphene Nanoflakes imprimió una antena dipolo flexible de línea serpenteante sobre sustrato de papel para aplicaciones RFID y de detección de bajo costo. Antenas IEEE Wirel. Propag. Letón. 2016, 15, 1565–1568. [Google Académico] [CrossRef]
- Akbari, M.; Khan, M.W.A.; Hasani, M.; Björninen, T.; Sydanheimo, L.; Ukkonen, L.; Khan, M.W.A. Fabricación y caracterización de antenas de grafeno para etiquetas RFID de bajo costo y respetuosas con el medio ambiente. Antenas IEEE Wirel. Propag. Letón. 2015, 15, 1569–1572. [Google Académico] [CrossRef]
- Tang, D.; Wang, Q.; Wang, Z.; Liu, Q.; Zhang, B.; Él, D.; Wu, Z.; Mu, S. Sensor portátil altamente sensible basado en una antena flexible de película de grafeno multicapa. Sci. Bol. 2018, 63, 574–579. [Google Académico] [CrossRef]
- Fan, C.; Wu, B.; Canción, R.; Zhao, Y.; Zhang, Y.; He, D. Blindaje electromagnético y radiación multihaz con película de grafeno multicapa de alta conductividad. Carbono 2019, 155, 506–513. [Google Académico] [CrossRef]
- Tian, W.; Li, W.; Yu, W.; Liu, X. Una revisión sobre los defectos de red en el grafeno: tipos, generación, efectos y regulación. Micromáquinas 2017, 8, 163. [Google Académico] [CrossRef]
- Tanyer-Tigrek, F.M.; Lager, I.E.; Ligthart, L.P. Una antena de bucle impreso alimentada por CPW para aplicaciones de banda ultra ancha y su rendimiento de matriz lineal. IEEE Antenas Propag. 2010, págs. 52, 31–40. [Google Académico] [CrossRef]
- Simons, R.N. Circuitos, componentes y sistemas de guía de onda coplanar; John Wiley & Sons, Inc.: Nueva York, NY, EE.UU., 2001; Volumen 7. [Google Académico]
- Ji, T.; Yoon, H.; Abraham, J.; Varadan, V. Red de distribución de alimentación de matriz de antenas de banda Ku con desfasadores ferroeléctricos en silicio. IEEE Trans. Microw. Teoría Técnica. 2006, 54, 1131–1138. [Google Académico]
- Pardo, D.A.; Jabbour, G.E.; Peyghambarian, N. Aplicación de la serigrafía en la fabricación de dispositivos orgánicos emisores de luz. Adv. Mater. 2000, 12, 1249–1252. [Google Académico] [CrossRef]
- Cao, X.; Chen, H.; Gu, X.; Liu, B.; Wang, W.; Cao, Y.; Wu, F.; Zhou, C. Serigrafía como un enfoque escalable y de bajo costo para transistores de película delgada rígidos y flexibles utilizando nanotubos de carbono separados. ACS Nano 2014, 8, 12769–12776. [Google Académico] [CrossRef]
- Shin, K.-Y.; Kim, M.; Lee, J.S.; Jang, J. Antena monopolo 2D y 3D altamente omnidireccional y controlable en frecuencia / polianilina. 2015, 5, 13615. [Google Académico] [CrossRef]
- Hyun, W.J.; Secor, E.B.; Hersam, M.C.; Frisbie, C.D.; Francis, L.F. Patrones de grafeno de alta resolución mediante serigrafía con una plantilla de silicio para electrónica impresa altamente flexible. Adv. Mater. 2015, págs. 27, 109–115. [Google Académico] [CrossRef]
- Arapov, K.; Jaakkola, K.; Ermolov, V.; Bex, G.; Rubingh, E.; Haque, S.; Sandberg, H.; Abbel, R.; De con, G.; Friedrich, H. Dispositivos de identificación por radiofrecuencia serigrafiados en sustratos flexibles. Phys. Status Solidi Rapid Res. Lett. 2016, págs. 10, 812–818. [Google Académico] [CrossRef] [Versión verde]
- Suikkola, J.; Bjorninen, T.; Mosallaei, M.; Kankkunen, T.; Iso-Ketola, P.; Ukkonen, L.; Vanhala, J.; Mäntysalo, M. Fabricación de serigrafía y caracterización de electrónica estirable. 2016, 6, 25784. [Google Académico] [CrossRef] [PubMed]
- Xiao, G.; Aflaki, P.; Lang, S.; Zhang, Z.; Tao, Y.; Py, C.; Lu, P.; Martín, C.; Change, S. Antenas de lector RFID UHF impresas para posibles aplicaciones minoristas. IEEE J. Radio Freq. Identif. 2018, 2, 31–37. [Google Académico] [CrossRef]
- Sa'don, S.N.H.; Jamaluddin, M.H.; Kamarudin, M.R.; Ahmad, F.; Dahlan, S.H. Una antena de grafeno 5G producida por el método de serigrafía. Indones. J. Electr. Ing. Comput. Sci. 2019, págs. 15, 950–1055. [Google Académico]
- RS en línea. Película aislante térmica Kapton HN, 304mm × 200mm × 0.075mm. 2018. Disponible en línea: https://my.rs-online.com/web/p/thermal-insulating-films/5363968/ (consultado el 3 de septiembre de 2019).
- Huang, X.; Leng, T.; Zhang, X.; Chen, J.C.; Chang, K.H.; Geim, A.K.; Novoselov, K.S.; Hu, Z. Laminado de grafeno altamente conductor sin aglutinante para aplicaciones de radiofrecuencia impresas de bajo costo. Appl. Phys. Lett. 2015, 106, 203105. [Google Académico] [CrossRef]
- Balanis, C.A. Antenna Theory: Analysis and Design, 3rd ed.; John Wiley & Sons: Nueva York, NY, EE.UU., 2005. [Google Académico]
- Fuentes: MDPI y AFP
¿Cuál es tu reacción?






